The International Space Station (ISS) may get all the glory, but suborbital rocket flights still play a vital part in space research. The problem is that even though such flights only go to the edge of space, they are expensive, few in number, and put massive stresses on experiments. Partly funded by a Kickstarter campaign, students at Boston University are developing an inexpensive suborbital rocket for educational purposes that uses new engine designs to create a cheaper, reusable suborbital rocket that's easier on the payload.
Currently, suborbital flights depend on NASA and a few companies that only fly about a hundred times a year at US$1 million a shot. In addition, because the disposable rockets use solid rocket motors, these flights pull 20 Gs of acceleration and produce massive vibrations that make them unsuitable for more delicate experiments.
Boston University Rocket Propulsion Group (BURPG) is an undergraduate group designed to give students hands-on engineering experience by designing and building suborbital rockets at a professional level. Its flagship project, Starscraper, has the goal of building an affordable, reusable suborbital rocket using a hybrid engine that would allow it to reach space without the acceleration and vibration of a solid booster.
Scheduled to fly in July 2015, Starscraper is a suborbital rocket measuring 30 ft (9 m) long and weighing 1,100 lb (499 kg), and it's designed to lift a 100 lb (45 kg) payload to an altitude of 435,000 ft (133,000 m), then return it to Earth.

According to BURPG, Starscraper has five major goals. If successful, it will be the highest altitude amateur rocket launch, the highest altitude for a hybrid engine, the first amateur rocket to go into space using a liquid propellant, the first actively-guided amateur rocket to go into space, and the first rocket launched by a university group to space.
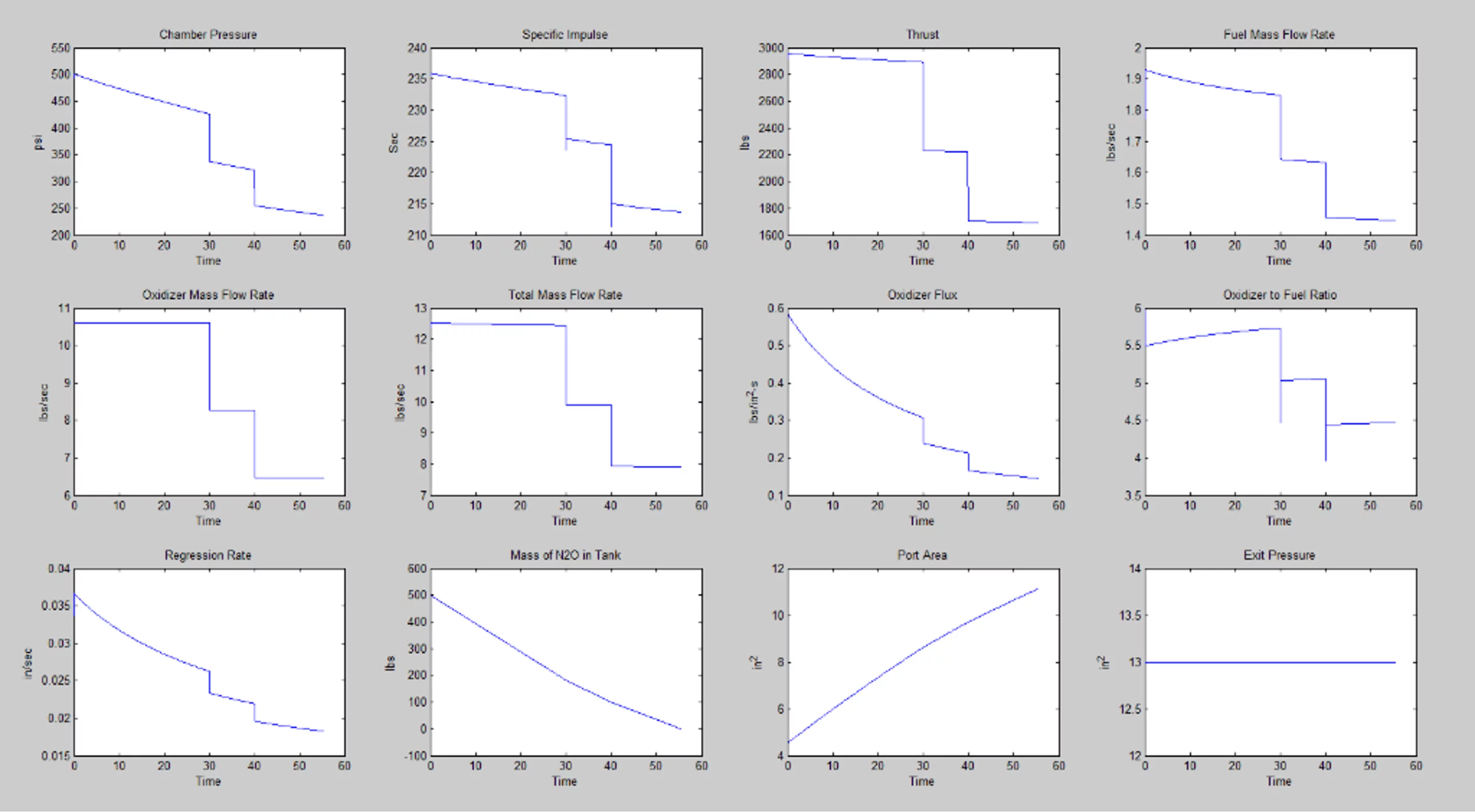
At its heart is BURPG's Mk V engine. It's a hybrid engine very similar to those developed by Scaled Composites for Virgin Galactic. Like other hybrid rockets, it uses a liquid oxidizer and a solid fuel. Hybrids are simpler than a purely liquid-fueled rocket, have efficiencies and thrusts equivalent to some classes of hydrocarbon-based liquid-fueled rockets, are throttleable, relatively inexpensive, and are safer to store and operate.
In addition, BURPG says they're not prone to catastrophic failure because the propellants are of two different states of matter, so they can't mix homogeneously. In the case of the Mk V, the fuel is hydroxyl-terminated polybutadiene and the oxidizer is nitrous oxide.
One particularly clever piece of kit on Starscraper is that its actively guided by liquid injection thrust vector. That is, the system generates supersonic shock waves inside the engine to steer the rocket rather than using guidance fins. BURPG says that liquid injection thrust vector is lighter and cheaper than conventional fin vector systems, and that this is the first time such a system has been used on a hybrid rocket.

Of course, none of this would mean anything if the rocket ended its flight by crashing into the ground or ruined its experiments with a sudden parachute snap. Instead, Starscraper makes a controlled tumble to reduce speed before deploying parachutes at low altitude for a softer descent.
This year, BURPG has been carrying on an extensive test program on a series of engines and rockets in Sudbury, Massachusetts leading up to the July 2015 launch of Starscraper from Black Rock Desert, Nevada. One test series involved the Actively Stabilized Test Rocket (ASTRo), which is a small rocket designed to test Starscraper's guidance algorithm under subsonic, supersonic, and high-angle of attack flights at altitudes ranging from 4,000 to 14,0000 ft (1,200 to 4,200 m). Guidance is particularly important because Starscraper's long burn means that it needs to be pointed on target for an equally long time.
Another was the Mk IIb engine, a static-test rocket capable of generating 200 lb of thrust for 20 seconds which underwent a series of cold and hot firing tests earlier this year to provide data about nitrous decomposition, thrust vector control, long duration nozzles, regenerative cooling, throttling, performance, fuel grain geometry, ground systems, and electronic control systems.

So far, BURPG has spent $90,000 on Starscraper and says that it has 60 percent of its needed funds and hopes to raise the balance with a Kickstarter campaign running through January 8. Backer rewards range from prints and photos to a chance to join the team at Starscraper's launch next year.
The video below show a static test of the Mk IIb rocket engine.
Source: BURPG